Rezensierte Bücher:
Blanchard, O./Illing, G. (2014): Makroökonomie, 6. Auflage, München: Pearson. 912 Seiten. Im Folgenden zitiert als BI. (Abb: Pearson)
Felderer, B./Homburg, S. (2005): Makroökonomik und neue Makroökonomik, 9. Auflage, Berlin: Springer, 496 Seiten. Im Folgenden zitiert als FH. (Abb: Springer-Verlag Berlin-Heidelberg)
Mankiw, N.G. (2011): Makroökonomik: Mit vielen Fallstudien, 6. Auflage, Stuttgart: Schäffer-Poeschel, 775 Seiten. Im Folgenden zitiert als GM. (Abb: Schäffer-Poeschel)
Mankiw, N.G./Taylor, M.P. (2012): Grundzüge der Volkswirtschaftslehre, 5. Auflage, Stuttgart: Schäffer-Poeschel, 1133 Seiten. Im Folgenden zitiert als MT. (Abb: Schäffer-Poeschel)
Samuelson, P.A./Nordhaus, W.D. (2010): Volkswirtschaftslehre, 4. Auflage, München: mi-Wirtschaftsbuch, FinanzBuch Verlag, 1104 Seiten. Im Folgenden zitiert als SN. (Abb: mi-Wirtschaftsbuch)
Nach dem Zweiten Weltkrieg gab es eine intensive und lange Debatte über die Grundpfeiler neoklassischen Denkens. Im Zentrum standen die Nachfrage nach Kapital und Arbeit und die funktionale Einkommensverteilung. Im Rahmen der Cambridge-Cambridge-Debatte (Cambridge, USA und Cambridge, England) in den 1960er Jahren wurde unzweifelhaft bewiesen, dass das neoklassische Standardmodell auf extrem restriktiven und unrealistischen Annahmen basiert. Man könnte erwarten, dass diese zentrale Debatte in wichtigen Lehrbüchern Platz findet oder zumindest referiert wird. Zunächst wird an einer Reihe bekannter Lehrbücher überprüft, ob dies der Fall ist. Es schließen sich eine Zusammenfassung der Cambridge-Cambridge-Debatte und eine Einschätzung an.
Beginnen wir mit dem Lehrbuch von Paul A. Samuelson und William D. Nordhaus (2010), dem wohl erfolgreichsten Lehrbuch nach dem Zweiten Weltkrieg. In dem Kapitel „Wachstum, Entwicklung und Weltwirtschaft“, das die längerfristigen Entwicklungen analysiert, wird die makroökonomische Produktionsfunktion eingeführt: „Häufig stellen Wirtschaftswissenschaftler die herrschende Beziehung zwischen den Faktoren als gesamtwirtschaftliche Produktionsfunktion […] dar, die eine Verbindung zwischen der Produktion eines Landes und dem dafür notwendigen Input und der Technologie hergestellt.“ (SN, S. 746)[1] Als einer der Wachstumsfaktoren wird „Kapital (Fabriken, Maschinen, Straßen, geistiges Eigentum)“ (SN, S. 746) benannt. „Auf vollkommenen Märkten wird die Inputnachfrage durch die Grenzprodukte der Produktionsfaktoren bestimmt. Im einfachen Fall, in dem die Faktoren in Form des einzigen Outputs bezahlt werden, erhalten wir folgende Gleichung: Lohn = Grenzprodukt der Arbeit, Rente = Grenzprodukt des Bodens und so weiter für jeden Produktionsfaktor.“ (SN, S. 372) Und: „… die Nachfrage nach dem Faktor Kapital [ist] eine abgeleitete Nachfrage, die sich aus dem Kapitalgrenzprodukt ergibt, das der zusätzlichen Produktionsleistung durch Zugänge zum Kapitalbestand entspricht.“ (SN, S. 448) Auf der gleichen Seite wird das Gesetz der abnehmenden Grenzerträge (Ertragsgesetz) eingeführt.
Bei N. Gregory Mankiw (2011) spielt im Teil II über die langfristige Betrachtung die Produktionsfunktion eine zentrale Rolle. „Die Produktionsfunktion repräsentiert die verfügbare Produktionstechnologie, um Kapital- und Arbeitseinsatz in Output zu transferieren.“ (GM, S. 61) „Die Einkommensverteilung wird durch die Faktorpreise bestimmt. Als Faktorpreis bezeichnet man den Betrag, den die Produktionsfaktoren für die abgegebene Leistung erhalten. In einer Volkswirtschaft, in der es nur die Produktionsfaktoren Arbeit und Kapital gibt, sind die Faktorpreise der Lohnsatz des Arbeitnehmers und der Zinssatz des Kapitaleigentümers.“ (GM, S. 62) Nachdem abnehmende Grenzprodukte als Normalfall postuliert werden, folgt: „Das Unternehmen dehnt seine Nachfrage nach dem jeweiligen Produktionsfaktor soweit aus bis dessen Grenzprodukt auf den realen Faktorpreis abgesunken ist.“ (GM, S. 69) An dieser Stelle führt Mankiw ein weiteres Argument an: „Der Teil des Gesamteinkommens, der übrig bleibt, nachdem die Produktionsfaktoren entlohnt wurden, wird als ökonomischer Profit oder Unternehmergewinn bezeichnet und fließt den Eigentümern der Unternehmen zu […]. Wenn die Produktionsfunktion konstante Skalenerträge aufweist, ist der Unternehmergewinn gleich Null.“ (GM, S. 69)
Im Lehrbuch von Mankiw und Mark Taylor (2012) ist die Argumentation identisch. „Jeder Faktorpreis spielt sich so ein, dass Angebot und Nachfrage auf dem Faktormarkt übereinstimmen. Weil die Faktornachfrage das Wertgrenzprodukt des Faktors spiegelt, wird im Gleichgewicht jeder Produktionsfaktor nach seinem Grenzbeitrag zur volkswirtschaftlichen Güterproduktion entlohnt.“ (MT, S. 488) Und: „Realkapital wird nach dem Wert seines Grenzproduktes entlohnt, unabhängig davon, ob diese Einkünfte an die Haushalte in der Form von Zinszahlungen und Dividenden weitergereicht werden oder als einbehaltene Gewinne in der Unternehmung verbleiben.” (MT, S. 484) Keynes wird im Teil über „kurzfristige wirtschaftliche Schwankungen“ abgehandelt. „Er begründete die Notwendigkeit kurzfristiger Eingriffe in die Volkswirtschaft. Diese konnten – anstatt des Wartens auf das schließlich von selbst eintretende langfristige Gleichgewicht – zu nützlichen wirtschaftlichen Verbesserungen führen.“ (MT, S. 875)
Oliver Blanchard und Gerhard Illing (2014) betrachten die Produktionsfunktion ebenfalls in den Teilen ihres Lehrbuches über die lange Frist. „Ausgangspunkt jeder Wachstumstheorie ist die aggregierte Produktionsfunktion.“ (BI, S. 321) Nachdem auf der folgenden Seite „realistischerweise“ konstante Skalenerträge unterstellt werden, folgt: „Die Eigenschaft, dass der Produktionszuwachs mit stetiger Erhöhung des Kapitals immer kleiner wird, bezeichnet man als abnehmenden Grenzertrag des Kapitals […]. Das Gleiche gilt auch für andere Produktionsfaktoren.“ (BI, S. 322) Bei der Analyse der Pro-Kopf-Produktionsfunktion folgt die übliche Argumentation: „Steigt die Kapitalintensität (das Kapital je Beschäftigten), so steigt auch die Produktion je Beschäftigten […]. [E]in Anstieg der Kapitalintensität [bringt] immer weniger zusätzliche Produktion pro Kopf mit sich. Dies ist eine direkte Konsequenz abnehmender Grenzerträge des Kapitals.“ (BI, S. 324) Auf die funktionale Einkommensverteilung wird in dem Lehrbuch überhaupt nicht eingegangen. Kurzfristig wird die Nachfrage nach Arbeit durch die Interaktion einer Lohnsetzungsgleichung, die vom erwarteten Preisniveau, der Arbeitslosenquote und einer Sammelvariablen (Arbeitsmarktinstitutionen etc.) abhängt, und durch die Preissetzungsgleichung von Unternehmen unter unvollständiger Konkurrenz bestimmt (BI, Kapitel 6). Hier spielen Grenzerträge dann keine Rolle.
Bernhard Felderer und Stefan Homburg (2005) legen ihr Lehrbuch paradigmenorientiert an und stellen explizit verschiedene Schulen im Rahmen des neoklassischen und keynesianischen Paradigmas vor. Die Post-Keynesianer_innen werden sehr kurz behandelt und kommen schlecht weg: „Da der Postkeynesianismus etwas abseits vom Strom der ‚Orthodoxien‘ liegt und selbst keine kohärente Theorie bietet, können wir auf ihn im Rahmen dieses einführenden Lehrbuches nicht weiter eingehen.“ (FH, S. 101) Die Keynes’sche Theorie „steht mit einem Fuß auf dem Boden der Neoklassischen Theorie, mit dem anderen aber auf dem Grund dessen, was ihre Anhänger für das Neue und Weiterführende der ‚General Theory‘ halten; wir sprechen deshalb synonym von der Neoklassischen Synthese.“ Und: „Die Neoklassische Synthese geht von der prinzipiellen Funktionsfähigkeit des Marktsystems aus und erklärt die Existenz von Rezessionen anhand verschiedener ‚Defekte‘.“ (FH, S. 139) „Das Kapital ist in der makroökonomischen Abstraktion ein homogenes Gut, das mit dem produzierten Gut identisch ist.“ (FH, S. 54) Den Leser_innen wird jedoch nicht vermittelt, welche brisante Bedeutung die Annahme „homogenes Gut“ beinhaltet. Bei der Produktionsfunktion werden zwei Probleme erwähnt. Erstens wird das Problem der Substitution der Produktionsfaktoren angesprochen. „Zumindest bei etwas längerfristiger Betrachtung kann jedoch ohne weiteres die Substitutionalität der Faktoren unterstellt werden.“ (FH, S. 57) Zweitens wird das Ertragsgesetz mit erst steigenden und dann fallenden Erträgen diskutiert. Aber steigende Erträge sind kein Problem, da „Unternehmen bei vollständiger Konkurrenz im Bereich fallender Grenzerträge produzieren“ (FH, S. 58).
In keinem der Lehrbücher wird auf die Cambridge-Cambridge-Debatte eingegangen. Für die längere Frist wird in allen betrachteten Lehrbüchen die makroökonomische Produktionsfunktion hochgehalten. Teilweise wird auf die Pro-Kopf-Produktionsfunktion im Rahmen des Wachstumsmodells von Robert Solow eingegangen. In allen Ansätzen gilt das neoklassische Standardmodell als langfristige Referenz. Die in der Neoklassischen Synthese benannten „Imperfektionen“ wie schlechte Erwartungen, starre Löhne oder Liquiditätsfalle oder der Strauß der im Neo-Keynesianismus mikroökonomisch abgeleiteten „Defekte“ im Marktsystem kratzen die Rolle des neoklassischen Paradigmas als Referenzmodell der ökonomischen Wissenschaft nicht an. Außer von Blanchard und Illing wird das neoklassische Modell in den betrachteten Lehrbüchern ohne relevante Einschränkungen auch für kurz- und mittelfristige Analysen herangezogen.
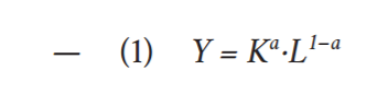
Zur Verdeutlichung soll das Standardmodell, das explizit oder implizit in allen rezensierten Lehrbüchern unterstellt wird, in möglichst einfacher Form dargestellt werden. Unterstellt werden vollständige Konkurrenz und eine geschlossene Ökonomie. Geld spielt in der Ökonomie keine Rolle. Alles kann somit in realen Größen ausgedrückt werden. Die Ökonomie wird als ein Unternehmen begriffen. Als Kapitalgüter gibt es nur Vorleistungen. Als makroökonomische Produktionsfunktion Y = Y (K,L) wird die Spezifizierung der Cobb-Douglas-Funktion Y = z·K^(a)·L^(b) mit Y als realem Produktionsvolumen, z als Effizienzparameter, K als Kapitaleinsatz, L als Arbeitseinsatz und a und b als gegebene Exponenten angenommen. Bei konstanten Skalenerträgen addiert sich die Summe der Exponenten auf Eins (a+b=1). Wird z, das für unsere Diskussion keine Rolle spielt, Eins gesetzt, ergibt sich:

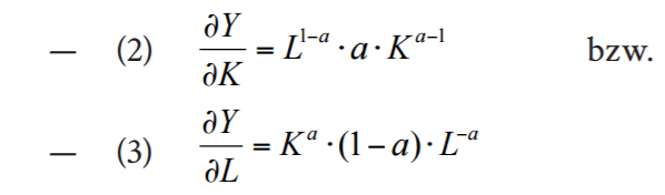
Die erste Ableitung nach dem Produktionsfaktor Kapital beziehungsweise Arbeit ergibt
Bei beiden Produktionsfaktoren sinken die Grenzerträge. Das sogenannte Ertragsgesetz gilt. Die Gewinnfunktion der Ökonomie entspricht der produzierten und verkauften Menge minus der Lohnkosten und der Profitkosten (Q = Y – w·L – r·K) bzw. nach Einsetzen der Produktionsfunktion

mit Q als Gewinn, w als Reallohnsatz und r als Profitrate.[2] Der gewinnmaximale Einsatz nach Kapital und Arbeit ergibt sich, wenn die erste Ableitung nach dem jeweiligen Inputfaktor Null gesetzt wird.
Für den Kapitaleinsatz folgt:

Für den Arbeitseinsatz folgt:

Ein Unternehmen maximiert seinen Gewinn, wenn das Grenzprodukt des Kapitals der Profitrate (Gleichung 5a) und der Reallohnsatz dem Grenzprodukt der Arbeit (Gleichung 6a) entspricht. Aufgrund der fallenden Grenzertragskurven ergeben sich die mit sinkendem Lohn steigende Nachfrage nach Arbeit und die mit sinkendem Zinssatz steigende Nachfrage nach Kapital.
Abbildung 1 stellt diesen Zusammenhang dar. Die Haushalte verfügen dabei über das Potenzial an Arbeitskräften und an Kapitalgütern. Sie stellen den Unternehmen ihre Arbeitskraft und die Kapitalgüter für Produktionszwecke für Löhne und Profite beziehungsweise Zinsen zur Verfügung. Die erste Ableitung der Produktionsfunktion nach Arbeit entspricht der Arbeitsnachfragefunktion, LN = LN(w). Die Arbeitsangebotsfunktion LA = LA(w) ist ebenfalls vom Reallohn abhängig, so dass sich ein Gleichgewicht auf dem Arbeitsmarkt bei der Beschäftigung L* und dem Reallohn w* ergibt. Die Beschäftigungsmenge bestimmt bei gegebenem Kapitalbestand /Ka angebotsseitig über die Produktionsfunktion das gleichgewichtige Nettoinlandsprodukt beziehungsweise reale Volkseinkommen (Y*). Auf dem Kapitalmarkt steht die erste Ableitung der Produktionsfunktion nach Kapital für die Nachfragefunktion nach Kapital KN = KN(r). Beginnend beim Altbestand (Kalt) ist die Nachfragefunktion nach Kapital identisch mit der Nettoinvestitionsfunktion I = I(r). Auch die Ersparnisfunktion S = S(r) ist nach neoklassischer Sicht von der Profitrate abhängig, so dass sich eine gleichgewichtige Profitrate (r*), ein gleichgewichtiger Kapitalbestand (K*) und eine gleichgewichtige Summe an Nettoinvestitionen (I*) und Ersparnissen (S*) ergeben.

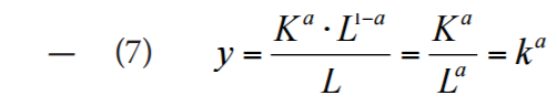
Aus den obigen Zusammenhängen lässt sich eine Lohn-Profitraten-Kurve ableiten. Wird die Gleichung (1) durch L dividiert, ergibt sich der Pro-Kopf-Output y = Y/L durch

mit k=K/L als Kapital pro Arbeitseinheit beziehungsweise Kapitalintensität. Die Pro-Kopf-Produktionsfunktion hat selbstverständlich die gleiche Form wie die normale Produktionsfunktion.
Die Steigung der Tangenten an der Pro-Kopf-Produktionsfunktion in Abbildung 2 gibt deren erste Ableitung an. Aus Gleichung (5a) wissen wir, dass die erste Ableitung der Produktionsfunktion der Profitrate beim entsprechenden Kapitaleinsatz entspricht. Dies gilt auch bei der Pro-Kopf-Produktionsfunktion. Die Tangente bei der Kapitalintensität k1 entspricht somit der Profitrate r1. Die Profitrate r1 multipliziert mit dem Kapitalstock pro Kopf k1 ergibt den Profit pro Kopf bei k1. Damit entspricht die Strecke zwischen k1 und B dem Profit pro Kopf. Da die Strecke zwischen k1 und A das Produktionsvolumen pro Kopf bei k1 angibt, muss die Strecke zwischen A und B dem Reallohn pro Kopf entsprechen. Aus der Abbildung ist unmittelbar erkennbar, dass mit steigender Kapitalintensität der Reallohn pro Kopf zunimmt, jedoch die Zuwächse abnehmen. Dieser Zusammenhang erschließt sich auch sofort, wenn in der Gleichung (3) der Kapitalstock erhöht wird und bedacht wird, dass das Grenzprodukt der Arbeit im Gleichgewicht dem Reallohnsatz entsprechen muss.

In der Abbildung 3 ist im linken oberen Quadranten die Beziehung zwischen der Kapitalintensität und der Profitrate angegeben, im linken unteren Quadranten die Beziehung zwischen Kapitalintensität und Reallohn. Es resultiert eine zum Ursprung hin konvexe Lohn-Profitraten-Kurve.

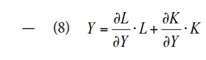
Die Verteilung des Volkseinkommens ist definitionsgemäß Y = w·L + r·K. Da im Gleichgewicht der Reallohn dem Grenzprodukt der Arbeit und die Profitrate dem Grenzprodukt des Kapitals entsprechen (Gleichungen 5a und 5b), ergibt sich:

Im Gleichgewicht ergibt das Grenzprodukt der Arbeit multipliziert mit dem Arbeitseinsatz plus das Grenzprodukt des Kapitals multipliziert mit dem Kapitaleinsatz das Volkseinkommen. Dies gilt jedoch nur, wenn konstante Skalenerträge angenommen werden.[3] Werden steigende Skaleneffekte unterstellt (die Summe der Exponenten ist größer als Eins), dann wird mehr verteilt als produziert. Werden fallende Skalenerträge unterstellt (die Summe der Exponenten ist kleiner als Eins), wird ein Teil des Einkommens nicht verteilt. Völlig unakzeptabel ist das Argument von Mankiw (2011), dieses Einkommen als Gewinn zu definieren. Es muss als äußerst befremdlich angesehen werden, dass eine Verteilungstheorie eine äußerst spezifische technologische Unterstellung machen muss, um in sich konsistent zu sein. Schon Sraffa (1926) hat argumentiert, dass konstante Skalenerträge ein zufälliger Spezialfall seien. Kaldor (1966) betonte steigende Skaleneffekte als typisch für dynamische Ökonomien. In der Tat, in allen Industrien, die durch Großunternehmen und oligopolistische oder monopolistische Strukturen gekennzeichnet sind, müssen steigende Skalenerträge vorliegen.
Die Kritik am neoklassischen Makromodell kann auf zwei Ebenen geführt werden. Erstens kann die Bedeutung der Substitution von Produktionsfaktoren bezweifelt werden, zweitens – und fundamentaler – scheitert das Modell an der Unfähigkeit der adäquaten Erfassung von Kapital.
Die in Abbildung 1 angegebenen Nachfragefunktionen nach Arbeit und Kapital sind nur denkbar, wenn es eine problemlose und vollständige Substitution zwischen Kapital und Arbeit gibt. Aber zumindest kurzfristig kann die industrielle Organisation auf Mikro- und Makroebene nicht so umgestaltet werden, dass Arbeit und Kapital gegenseitig ersetzt werden. Beispielsweise ist schwer vorstellbar, dass eine Produktion von Autos mit 1000 Arbeitskräften und 100 Maschinen innerhalb kurzer Zeit so umgestellt werden kann, dass die Autos nun mit 100 Arbeitskräften und 500 Maschinen produziert werden. Noch unrealistischer erscheint die kurzfristige Rückkehr von einer kapitalintensiven zu einer arbeitsintensiven Produktion, da von den 500 Maschinen dann 400 weggeschmissen werden müssten. Allenfalls sehr langfristig über Jahrzehnte im Rahmen von Ersatz- und Nettoinvestitionen ist eine solche Substitution in größerem Umfang möglich (Hicks 1932, S. 20 ff.; Lazzarini 2011). Muss ein solch langer Zeitraum unterstellt werden, dann spielen beispielsweise neue Techniken eine viel bedeutendere Rolle für die Nachfragefunktionen als die Substitution. Befremdlich ist, dass nur Felderer und Homburg (2005) in ihrem Lehrbuch das Problem offen angesprochen haben. Paul Samuelson (1966) trifft den Punkt, wenn er im Rahmen des neoklassischen Modells von Kapital als „jelly“ (Wackelpudding, Gelee) spricht, das sich physisch jederzeit in jedes konkrete Kapitalgut verwandeln kann und eine beliebige Substitution von Arbeit und Kapital ermöglicht.[4]
Nach dem Zweiten Weltkrieg entwickelte sich eine Debatte um den Kapitalbegriff in der makroökonomischen Produktionsfunktion. Joan Robinson (1953) fragte penetrant, was das K in der Produktionsfunktion zu bedeuten habe. Das Problem ist, dass in einer makroökonomischen Produktionsfunktion das K eine Wertgröße sein muss, denn Werkbänke, Fabrikhallen und Computer lassen sich nur in einem Wertstandard aggregieren. Dies ist ein wichtiger Unterschied zu Arbeit und Boden, die ein natürliches Aggregationsmaß in der Form von Stunden und Quadratmetern haben. Unterschiedliche Qualitäten von Arbeit und Boden können dann auf einfache Arbeit und einfachen Boden zurückgerechnet werden. Bei Kapital gibt es keine natürliche Maßeinheit.[5] Das Problem bei Kapital als Wertgröße ist, dass der Wert nicht unabhängig von der funktionalen Einkommensverteilung ist. Jede Veränderung der Einkommensverteilung führt zu einer neuen Struktur der relativen Preise und zu einem sich modifizierenden K in der makroökonomischen Produktionsfunktion. Unterstellen wir beispielsweise ausgehend von einem Gleichgewicht eine Reduzierung der Reallöhne. In diesem Fall wird bei unveränderten Preisen die Profitrate in Branchen mit relativ geringer Kapitalintensität stärker steigen als in Branchen mit relativ hoher Kapitalintensität. Nur durch eine Anpassung der Struktur relativer Preise kann wieder eine gleiche Profitrate hergestellt werden. Mit der neuen Preisstruktur wird jedoch der Wert des Kapitalstocks steigen oder sinken, obwohl sich physisch in der Ökonomie nichts verändert hat. Zudem kann die neue Preisstruktur zur Wahl einer neuen profitmaximierenden Technologie führen. Diese Effekte zerstören die neoklassischen Nachfragefunktionen nach Kapital und Arbeit einschließlich der Verteilungstheorie (vgl. zur Debatte Harcourt 1972; Lazzarini 2011; Hein 2014).
In möglichst einfacher Form soll das Ergebnis der Debatte präsentiert werden (vgl. Heine/Herr 2013, S. 250 ff.). Es wird eine Ökonomie mit einem Kapitalgut und einem Konsumgut unterstellt, wobei für die Produktion beider Güter das Kapitalgut und Arbeit benötigt werden. Löhne werden am Ende des Produktionsprozesses bezahlt. Es folgt
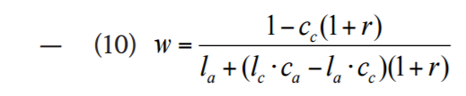
mit Pa und Pc als Preis für das Konsum- beziehungsweise Kapitalgut, la und lc als Arbeitskoeffizienten (notwendiger Arbeitsinput pro Gut) und ca und cc als Kapitalkoeffizienten (notwendiger Kapitalinput pro Gut). Es wird unterstellt, dass die Arbeits- und Kapitalkoeffizienten sich bei Veränderungen des Produktionsvolumens nicht ändern.[6] Wird das Konsumgut als Wertstandard Eins gesetzt und Gleichung (9b) in Gleichung (9a) eingesetzt, ergibt sich als Lohn-Profitraten-Kurve:

Die Form der Kurve hängt von der Konstellation der Arbeits- und Kapitalkoeffizienten ab. Sie kann konkav oder konvex zum Ursprung verlaufen.[7] Betrachten wir die konkave Kurve auf der rechten Seite der Abbildung 4. Die Kapitalintensität k ist identisch mit dem Profit pro Arbeiter dividiert durch die Profitrate, also k = (Q:L):(Q:K)= K:L. Bei r1 ergibt sich der Lohnsatz w1. Die Strecke zwischen w2 und w1 entspricht dann dem Profit pro Kopf (Q:L), da die Strecke zwischen Null und w2 die gesamte Wertschöpfung pro Kopf angibt. Das Verhältnis der Strecken zwischen w2 und w1 oder (Q:L) und Null und r1 oder (Q:K) gibt somit die Kapitalintensität bei r1 an. Bei steigender Profitrate wird in der Abbildung der tang α, also Q:L zu Q:K, immer größer. Dies bedeutet, dass mit steigender Profitrate die Kapitalintensität bei unveränderter Technologie steigt. Diesen Effekt nennt man Kapitalreversing, der durch eine Veränderung der Struktur der Preise bei Änderungen der Einkommensverteilung entsteht. Offensichtlich zerstört Kapitalreversing den neoklassischen inversen Zusammenhang zwischen Kapitalbestand und Profitrate. Bei einer zum Ursprung hin konvexen Lohn-Profitraten-Kurve sinkt mit steigender Kapitalintensität die Profitrate.
Auf der linken oberen Seite der Abbildung 4 werden zwei Techniken unterstellt. Bei sehr geringen Profitraten wird die Technik 1 verwendet. Beginnend beim maximalen Lohnsatz führt eine Erhöhung der Profitrate zu einer sinkenden Kapitalintensität – was dem neoklassischen Ansatz entspricht. Steigt die Profitrate über r1 beziehungsweise sinkt der Lohnsatz unter w2, kommt die Technik 2 zum Zuge. Nach einem Sprung in der Kapitalintensität steigt nun aufgrund von Kapitalreversing bei weiter steigender Profitrate die Kapitalintensität an. Bei der Profitrate r2 kommt es zum Reswitching. Bei sehr hohen Profitraten wird die Technik 1 wieder die gewinnmaximierende. Die gleiche Technik wird somit bei sehr hohen und bei sehr niedrigen Profitraten genutzt.

Dieses Beispiel zeigt, dass bei der Produktion von zwei Gütern und unterschiedlichen Kapitalintensitäten der Produktion (was faktisch den gleichen Sachverhalt ausdrückt) die neoklassische Nachfrage nach Kapital zusammenbricht.[8] Aber auch die Nachfrage nach Arbeit bricht zusammen. Unterstellen wir, dass Technik 1 im Vergleich zu Technik 2 einen geringeren Arbeitseinsatz benötigt. Bei sehr hohen Löhnen wird Technik 1 verwendet; fallen die Löhne auf w2, wird die Technik mit dem höheren Arbeitseinsatz gewählt. Fallen die Löhne weiter, kommt es bei sehr niedrigen Löhnen zu einem geringen Arbeitseinsatz, da wieder Technik 1 gewählt wird. Dies widerspricht offensichtlich den Annahmen der neoklassischen Arbeitsnachfrage.
Ein Beispiel: Schuhe werden mit Arbeit und Maschinen produziert. Wir unterstellen, dass Schule mit sehr arbeitsintensiven und sehr kapitalintensiven Techniken produziert werden können. Maschinen können zwar auch mit verschiedenen Techniken produziert werden, die jedoch alle relativ arbeitsintensiv sind. Wir beginnen mit sehr niedrigen Löhnen. Schuhe werden in diesem Fall mit einer arbeitsintensiven Technologie mit wenigen Maschinen produziert (Technik 1). Nun steigen die Löhne an und die Schuhproduktion wird kapitalintensiver durchgeführt (Technik 2). Zwar steigt der Preis der Maschinen durch steigende Löhne an, jedoch ist dieser Effekt in der Schuhindustrie schwächer als die Erhöhung der Löhne. Die Löhne steigen nun weiter und verteuern dadurch auch die Maschinen. Ab einer bestimmten Lohnhöhe wird in der Schuhindustrie aufgrund der nun sehr hohen Maschinenpreise wieder auf eine arbeitsintensive Produktion zurückgegangen (Technik 1). Im neoklassischen Modellrahmen ist ein solcher Fall nicht vorgesehen.
Auch die Grenzproduktivitätstheorie der Verteilung verliert ihre Grundlage, denn Produktivitäten können makroökonomisch nicht mehr physisch definiert werden, sondern hängen von Aggregaten ab, die wiederum von der Verteilung des Einkommens abhängen.
Das Problem wird wegdefiniert, wenn in allen Branchen die gleiche Kapitalintensität angenommen wird oder in der makroökonomischen Produktionsfunktion nur ein homogenes Kapitalgut unterstellt wird, das in Kilogramm oder Liter aggregiert werden kann.[9]
Ein Versuch, die Cambridge-Cambridge-Debatte zu umgehen, besteht darin, makroökonomische Produktionsfunktionen auf Grundlage der Volkswirtschaftlichen Gesamtrechnungen empirisch zu messen. Das Problem dabei ist, dass die volkswirtschaftlichen Daten Buchführungsidentitäten widerspiegeln, so dass eine Produktionsfunktion diese Identitäten misst und keine Kausalzusammenhänge bestimmen kann (Felipe/McCombie 2010). Zudem ist die Empirie kein Ausweg aus theoretischen Inkonsistenzen.
Ein theoretischer Ausweg aus den Problemen der Cambridge-Cambridge-Debatte besteht darin, sich auf das Walrasianische allgemeine Gleichgewichtsmodell zurückzuziehen, das auf mikroökonomischer Basis mit einer endlichen Anzahl von Haushalten und Unternehmen und einer endlichen Zeit argumentiert. Hier brauchen Produktionsfunktionen nicht aggregiert zu werden. Das Problem ist jedoch, dass das Modell keine einheitliche Profitrate garantieren kann (Garegnani 2012). Zudem ist in einer Ungleichgewichtssituation nicht klar, ob der Preis in einem Markt steigen oder fallen soll. So kann es in einem Ungleichgewicht mit Arbeitslosigkeit notwendig sein, dass sich die Löhne für das Gleichgewicht erhöhen.
Samuelson (1966, S. 583) fasst die Ergebnisse der Cambridge-Cambridge-Debatte in seinem Beitrag „A Summing Up“ zusammen: „Wenn alles dies Kopfschmerzen bereitet für jene, die nostalgisch den alten neoklassischen Parabeln nachhängen, müssen wir uns daran erinnern, dass Wissenschaftler nicht geboren sind, ein einfaches Leben zu haben. Wir müssen die Gegebenheiten des Lebens respektieren und schätzen.“[10] Selbst in seinem eigenen Lehrbuch hat dies Samuelson allerdings nicht zu Herzen genommen.
Es stellt sich die Frage, warum in den Lehrbüchern diese für das neoklassische Paradigma so fundamentale Debatte nicht diskutiert wird. Plausibel ist das Argument von Imre Lakatos, dass neoklassische Ökonom_innen die Methode des Problemverschiebens praktizieren, da die Konsequenzen der Cambridge-Cambridge-Debatte den Kern des neoklassischen Paradigmas angreifen. Fraglich ist, ob es sich dabei um eine progressive Problemverschiebung handelt, die zur Entwicklung eines neuen Paradigmas genutzt werden kann. Was sich abzeichnet, ist eine degenerierte Problemverschiebung, welche Erkenntnisse schlicht ignoriert und zunehmend zur Ideologieproduktion wird. Für die ökonomische und soziale Entwicklung von Ländern ist dies fatal. Denn ökonomische Beratung wird von Politikern als nutzlos eingestuft. Oder viel häufiger und schlimmer, der Rat von Ökonomen destabilisiert Ökonomien und ganze Gesellschaften.
Literatur
Böhm-Bawerk, E. (1894): Kapital und Kapitalzins, Innsbruck.
Clark, J.B. (1908) (1. Auflage 1899): The Distribution of Wealth: A Theory of Wages, Interest, and Profits, London.
Felipe, J./McCombie, J. (2010): On Accounting Identities, Simulations Experiments and Aggregate Production Functions: A Cautionary Tale for (neoclassical) Growth Theorists. In: Setterfield, M. (Hrsg.): Handbook of Alternative Theories of Economic Growth, Cheltenham: Edward Elgar.
Garegnani, P. (2012): On the Present State of the Capital Controversy. In: Cambridge Journal of Economics 35, S. 1417–1432.
Harcourt, G.C. (1972): Some Cambridge Controversies in the Theory of Capital, Cambridge: Cambridge University Press.
Hein, E. (2014): Distribution and Growth after Keynes. A Post-Keynesian Guide, Cheltenham: Edward Elgar.
Heine, M./Herr, H. (2013): Volkswirtschaftslehre. Paradigmenorientierte Einführung in die Mikro- und Makroökonomie, 4. Auflage, München: Oldenbourg.
Herr, H./Ruoff, B. (2016): Labour and Financial Markets as Drivers of Inequality. In: Gallas, A./Herr, H./Hoffer, F./Scherrer, C. (Hrsg.): Combating Inequality. The Global North and South, London: Routledge.
Hicks, J.R. (1932): The Theory of Wages, London: Transaction Publishers.
Kaldor, N. (1966): Causes of the Slow Rate of Growth of the United Kingdom Economy, Cambridge: Cambridge University Press.
Lazzarini, A. (2011): Revisiting the Cambridge Capital Theory Controversies: A Historical and Analytical Study, Pavia: Pavia University Press.
Robinson, J. (1953): The Production Function and the Theory of Capital. In: Review of Economic Studies 21, S. 81–106.
Samuelson, P.A. (1966): A Summing Up. In: Quarterly Journal of Economics 80, S. 568–583.
Sraffa, P. (1926): The Laws of Returns under Competitive Conditions. In: Economic Journal 36, S. 535–50.
Sraffa, P. (1960) (deutsch 1976): Warenproduktion mittels Waren, Frankfurt am Main: Suhrkamp.
[1] Hervorhebungen in allen Zitaten im Text sind vom Original übernommen.
[2] Die Profitrate wird in der Neoklassik üblicherweise als Zinsrate bezeichnet. Es handelt sich dabei um eine Zinsrate der Realsphäre, also nicht um eine Zinsrate, die etwa von der Zentralbank festgelegt wird. Unternehmen realisieren im Gleichgewicht den Normalgewinn entsprechend der gleichgewichtigen Profit- beziehungsweise Zinsrate. Die Gewinne, also die Profite, die nicht an die Haushalte abgeführt werden müssen, sind dann Null.
[3] Dies lässt sich einfach zeigen. Gehen wir von der Produktionsfunktion Y = Ka·Lb aus, dann ergeben sich als partielle Ableitungen ∂K/∂Y = a·Lb Ka-1 und ∂L/∂Y = b·Ka·Lb-1. Die Verteilungsgleichung (8) ist dann Y = a·Lb·Ka-1·K+b·Ka·Lb-1·L oder Y = a·Lb·Ka+b·Ka·Lb. Berücksichtigt man die Produktionsfunktion, dann folgt Y = a·Y+b·Y. Die Gleichung ist nur erfüllt, wenn sich a und b auf Eins addieren.
[4] Samuelson hatte zwei Seelen in seiner Brust. Er war einer der Hauptbeteiligten an der Cambridge-Cambridge-Debatte, hat jedoch in seinem Lehrbuch die Debatte nicht thematisiert.
[5] Böhm-Bawerk (1894) hat versucht, Kapital durch die Dauer der Umwegproduktion, also in Zeiteinheiten, zu messen. Jedoch scheiterte auch dieser Versuch (vgl. Samuelson 1966).
[6] Implizit werden damit konstante Skalenerträge unterstellt. Dies ist eine Vereinfachung. In einem komplizierten Modell könnte auf diese Annahme verzichtet werden. Der Kern der Argumentation würde sich dadurch nicht verändern. Bei der Grenzproduktivitätstheorie liegt der Fall anders, denn bei der Abwesenheit von konstanten Skalenerträgen entstehen in dem Modell Widersprüche.
[7] Nur wenn unterstellt wird, dass die Kapital- und Arbeitskoeffizienten identisch sind, wird die Lohn-Profitraten-Kurve eine Gerade. Es ergibt sich dann:
w = 1/l – (c/l)(1-r)
[8] Bei linearen Lohn-Profitraten-Kurven ergibt sich bei einer großen Anzahl unterschiedlicher Techniken eine Beziehung zwischen Kapitalintensität und Profitrate, die dem neoklassischen Modell entspricht.
[9] Es ist erwähnenswert, dass Karl Marx im dritten Band des Kapitals bei der Umwandlung von Arbeitswerten in Preise mit dem Zweck des Ausgleichs der Profitraten an dem gleichen Problem scheitert wie die Neoklassik. Bei gleichen Kapitalintensitäten in allen Branchen oder der Produktion nur eines Gutes entfällt die Transformation von Arbeitswerten in Preise.
[10] Eigene Übersetzung.